PDOA定位演示套件VDU4503
深圳市微能信息科技有限公司是國內專業的UWB定位硬件和算法供應商,提供PDOA(Phase-Difference-of-Arrival)定位基站、標簽產品。VDU4503是基于微能信息的UWB-PDOA定位算法設計開發的一款PDOA定位演示開發套件,客戶通過該開發套件可以快速將PDOA定位產品嵌入到自己的應用中。
一、PDOA定位演示套件物料清單
VDU4503定位演示套件主要包含PDOA基站和標簽,詳細見下表格。
| 產品名稱 | 料號 | 數量 |
| PDOA定位基站模塊 | SKU611 | 1個 |
| PDOA定位標簽 | SKU610 | 1個 |
| PDOA定位基站板EVB | SKU611 EVB | 1個 |
| PDOA定位標簽基站板EVB | SKU610 EVB | 1個 |
| USB數據線 | Min USB數據線 | 2條 |
二、PDOA定位算法基本原理
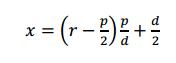
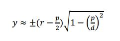
VDU4503定位演示套件基于PDOA測距定位算法,如下圖所示。


PDOA基站上放置兩個相同且間隔d<λ/2 天線,PDOA標簽(tag)上的信號到達兩個天線的相位差就在-180°到180°范圍內。利用測得的相位差換算成距離差(P),利用飛行時間得到距離r,最后得到PDOA標簽(tag)的坐標數據。
![]() | ![]() |
三、應用場景
該套件特別適用于短距離,點對點,實現followme軌跡跟隨,角度識別等技術領域的應用開發。
四、PDOA定位演示套件環境搭建
第一步:安裝軟件驅動,本評測軟件需要將UWB基站板SKU611的USB接口接入電腦,安裝成功后插入SKU611,電腦會顯示出虛擬串口,PDOA定位顯示軟件通過USB得到SKU611基站的數據;

第二步:將SKU611通過USB上電,PDOA標簽SKU610也上電;
第三步:打開PDOA定位顯示軟件,選擇SKU611的串口,點擊連接,開始定位;

第四步:開始定位后,軟件搜索到標簽SKU610,會在地圖上顯示。

PDOA定位演示套件供應商,深圳市微能信息科技有限公司,網站:www.szzh88.cn



