一種基于接收信號相位差PDOA的室內定位算法原理介紹
發布日期:2020-07-15 瀏覽次數:10781次
PDOA,英文全稱是Phase-Difference-of-Arrival,常規叫法是信號到達相位差PDOA測距算法,或者說接收信號相位差PDOA定位算法,也是一種室內定位算法,通過測量相位差求出信號往返的傳播時間來計算往返距離。這種定位算法不是很常見,多用于一些特殊的室內定位場景,比如用在室內無人機的定位、行李箱的自動跟隨follow me等。
PDOA定位算法的原理如下:
UWB基站上放置兩個相同且間隔d<λ/2的天線,UWB標簽上的信號到達兩個天線的相位差就在-180°到180°范圍內。利用測得的相位差換算成距離差(P),利用飛行時間得到距離r,最后得到坐標值。
PDOA定位算法圖示:
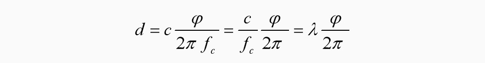
算法公式:

補充:PDOA定位也有另外一種算法計算公式,如下圖所示。不過這種計算公式不是很常見,用的也少,這里列出來僅作為參考。

fc :信號頻率
λ :信號波長
φ: 發射信號和反射信號的相位差
d的范圍是[0, λ]。距離相差λ倍,則測量獲得的相位相同。
可用于PDOA測距定位的UWB模塊推薦:
基于DW1000方案,95power推出了兩款可用于PDOA定位的UWB模塊如下:

做PDOA定位的UWB模塊SKU611(集成兩路DW1000和一個nRF52840藍牙IC)

做PDOA定位的UWB模塊SKU610
深圳市微能信息科技有限公司已推出PDOA定位套件,方便用戶做智能跟隨應用、角度識別等應用。更多信息可點擊:PDOA定位演示套件VDU4503

