人體對UWB測距誤差影響有多大?超多干貨值得收藏!
發布日期:2020-03-19 瀏覽次數:1095次
信道模型和測距誤差模型是定位算法和系統性能評估的重要基礎,可以分別為UWB測距算法和UWB定位算法研究提供仿真數據。現有針對 TOA 的信道模型和測距誤差模型并沒有針對人員定位進行測量,模型中不包括人體對信道和測距精度的影響。在TOA 測距中,只有發送方和接收方直視信道的信號傳輸時間代表了準確的距離值。在室內環境中,如何從多徑接收信號中檢測到正確的信號到達時間,即 TOA 估計算法,是 TOA 定位的最大挑戰。
TOA估計算法的性能評估需要多徑信道模型的支持。雖然,IEEE802.15.4A 標準提供了針對室內定位的多徑信道模型,但是這些信道模型并沒有考慮到攜帶傳感器的人體對信號傳輸的影響。根據電磁波衍射的原理,當波形前端接觸到障礙物時,其傳播方向會隨之發生改變。若障礙物的表面相對平滑且彎曲,電磁波會沿障礙物表面繼續傳播,這種傳播方式被稱為爬行波。現有研究成果表明,人體表面曲率的變化同樣會引發爬行波現象。
雖然人體對直視信號具有強烈的遮擋作用,但是人體爬行波的作用使部分被遮擋的信號仍然可能到達接收端。人體爬行波和多徑效應的共同作用會使接收信號的路徑條數、信號到達時間和信號能量都產生變化,從而影響 TOA 測量精度。當 UWB 信號在人體 周圍進行傳播時,由于人體的遮擋,UWB 信號的直射路徑信號不可測并且 UWB 信道特性會受到復雜的無線電波環境的影響,導致人體遮擋應用場景下的 UWB 信道模型比一般應用場景下的 UWB 信道模型 要復雜得多。因此,選擇合理的測量方法、場景變量以及數據分析方法對人體遮擋應用場景下的 TOA 測距誤差的建模是必不可少的。
人體遮擋應用場景對 UWB 信道的影響
人體遮擋屬于非視距傳播的一種特殊應用場景,在人體遮擋應用場景下,當發射天線和接收天線均放置在人體的同一側,它們之間沒有受到人體的遮擋,通過對傳播過程中各條路徑信號能量損耗的檢測可以準確得到直射路徑信號。然而,當發射天線和接收天線放置在人體的兩側,它們之間受到了人體的遮擋,無法從多徑信號的能量損耗中分辨出直射路徑信號的能量損耗,因此無法檢測到直射路徑信號。
大量研究結果都表明在人體遮擋應用場景下,無線信號的傳播會在人體表面形成衍射波并且會由人體周圍的物體引起反射波和散射波,而無線電波在信道中主要就是以上述 3 種形式進行傳播的 。由電磁波衍射的原理可知,當無線電波的波形前端接觸到障礙物時,其傳播方向也會隨之發生改變。如果障礙物的表面是相對平滑且彎曲的,無線電波會沿著障礙物表面繼續傳播,這種傳播方式被稱為爬行波。由于人體的表面具有平滑且彎曲的特點,所以在無線信號在人體表面進行傳播時會形成體表爬行波 。
盡管人體對直射路徑信號具有強烈的遮擋作用,但是體表爬行波的作用會令部分被遮擋的無線信號通過在人體表面的傳播仍然可以到達接收天線,并且體表爬行波會導致接收天線接收到的無線信號的路徑條數信號到達時間以及信號能量衰減都發生一定的變化從而影響TOA 測距結果的準確性。因此,在人體遮擋應用場景下,體表爬行波是對無線信號傳播以及 TOA測距造成影響的最關鍵因素,對體表爬行波的分析可以為人體遮擋應用場景下 TOA 測距誤差的建模提供大量理論依據。
圖 1 形象地表示了無線信號在人體遮擋應用場景下的傳播過程。無線信號由發射天線 Tx 發出,然后沿著人體表面由一側爬行傳播到另外一側,再通過在空氣中的傳播最終到達接收天線 Rx。如圖 1所示,當發射天線從 T1 位置向 T4 位置移動時,隨著發射天線和接收天線之間的距離不斷減小,無線信號在人體表面的爬行距離隨之增大并且在空氣中的傳播距離也隨之減小。根據文獻[8]提出的基于距離的 UWB 人體傳播模型,無線信號在人體表面傳播時,單位距離的信號能量要比在空氣中傳播的信號能量衰減得快。
由圖 1 可知當發射天線和接收天線均在人體附近時,信號能量衰減主要來自于體表爬行波引起的路徑損耗,當發射天線逐漸遠離人體時,信號能量衰減主要來自于空氣傳播時引起的路徑損耗 [9,10] 。因此在人體遮擋應用場景下,人體與天線之間存在一臨界點,該臨界點的位置決定了引起信號能量衰減的主要原因。由于體表爬行波帶來的路徑損耗會比無線信號在空氣中傳播的路徑損耗要大,所以體表爬行波會引入較大的 TOA 測距誤差。所以在人體遮擋應用場景下,人體與天線之間存在的臨界點位置也決定了 TOA 測距誤差的大小和其主要的產生原因。

測量場景
通過分析人體遮擋應用場景下 TOA 測距誤差和信號能量衰減產生的原因以及它們受到體表爬行波的影響可知,發射天線和接收天線分別放置在人體兩側時,人體與天線之間存在一個臨界點。當天線放置在人體與臨界點之間時,信號能量衰減主要來自于體表爬行波引起的路徑損耗,TOA 測距誤差的大小主要受到體表爬行波的影響;當天線放置在臨界點之外時,信號能量衰減主要來自于無線信號在空氣中傳播產生的路徑損耗,TOA 測距誤差的大小符合無線信號在自由空間中傳播的規律。因此,通過測量人體與天線之間的距離不同時的 TOA測距誤差值可以得到臨界點的位置并且有助于分析體表爬行波對 TOA 測距的影響,本文將人體表面到發射天線以及接收天線的距離作為場景變量來研究人體遮擋應用場景下的 UWB 信道特性。
測量系統
為了采集人體遮擋應用場景下的TOA測距值,本文采用如圖 2 所示的測量系統,主要由一對全向天線,一組 UWB 測距套件以及一臺筆記本電腦組成,其中,UWB 測距套件是由參考節點和目標節點組成的,通過 UWB 測距套件對天線之間的距離進行測量。

本文是利用參考節點和目標節點之間的通信進行測距的,參考節點主動發起測距,目標節點連接電源并負責配合參考節點進行 TOA 測距,此時,TOA 測距結果通過串口輸出的方式發送給筆記本電腦,記錄下串口軟件上顯示的 TOA 測距值。如圖 2 所示,將發射天線連接在參考節點上,接收天線連接在目標節點上,人站在發射天線和接收天線之間,其中,d TH 表示發射天線與人體表面之間的距離,d RH 表示接收天線與人體表面之間的距離,d TR 表示發射天線與接收天線之間的距離。將發射天線和接收天線放置在三腳架上來調整它們的位置并且保持它們的離地高度相同。
測量數據及處理方法
本文通過對人體遮擋應用場景下人體表面到發射天線以及接收天線不同時的 TOA 測距值進行測量并與真實距離相減來獲得 TOA 測距誤差,因此,對 TOA 測距值的測量方法必須具備合理性和可行性。本文利用節點與節點之間通信的測距方式對天線之間的距離進行測量,UWB 測距芯片采用雙向測距的異步 TOA 定位算法進行測距,這種方法不要求發射天線和接收天線之間高精度的時間同步,TOA 測距值的具體測量方法如圖 3 所示。

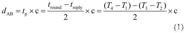
如圖 3 所示,可通過式(1)來計算發射天線與接收天線之間的 TOA 測距值。

其中,
d AB 表示節點 A 與節點 B 的 TOA 測距值;
t p 表示無線信號在空氣中傳播的時間;
c 表示無線信號在空氣中傳播的速度,即光速;
t round 表示節點 A 進行一次收發脈沖的時間;
t reply 表示節點 B 等待的時間;
T 1 表示節點 A 發送測距脈沖 Ranging Data 的時刻;
T 2 表示節點 B 接收測距脈沖 Ranging Data 的時刻;
T 3 表示節點 B 發送確認脈沖 ACK 的時刻;
T 4 表示節點 A 接收確認脈沖 ACK 的時刻。
在人體遮擋應用場景下,雙向測距的異步TOA 定位算法得到測距值與真實距離的差值就是 TOA 測距誤差。與傳統的單向測距的 TOA 定位算法進行比較,該算法避免了 2 個測距節點之間的時鐘同步,降低了測距系統的復雜度,并且提高了測距精度。
TOA 測距節點對發射天線與接收天線之間的距離進行測量后,對測距結果進行處理可得到本測量場景下的 TOA 測距誤差。
場景設置
通過分析人體遮擋應用場景對 UWB 信道特性的影響可知,由于體表爬行波的存在,無線信號在人體表面傳播時的信號能量衰減以及 TOA 測距誤差和在空氣中傳播時的信號能量衰減以及 TOA測距誤差有很大不同,并且人體與天線之間存在一臨界點界定了體表爬行波對 UWB 信道特性的影響程度。為了在人體遮擋應用場景下建立合理的 TOA測距誤差模型,必須對臨界點的位置進行確定,比較天線分別放置在臨界點內和臨界點外的 TOA 測距誤差的不同并分別建立上述 2 種情況下的 TOA測距誤差模型。因此,本文將通過發射天線到人體的距離 d TH 和接收天線到人體的距離 d RH 作為場景變量進行設置,并通過統計不同場景變量下的 TOA測距誤差,為建立人體遮擋應用場景下的 TOA 測距誤差模型奠定了基礎。
本文將人體遮擋應用場景下的測量安排在空曠的室外環境下,周圍沒有大型建筑物和樹木的遮擋,避免了 UWB 信號在傳播中產生多徑效應而對測距結果的影響。利用三腳架調整兩天線的離地高度均在 1 m 左右,即令發射天線接收天線天線與人體的胸口正中位置在一條水平線上。需要注意的是由于本測量人體的厚度為 20 cm,并且在本測量中無論發射天線還是接收天線,它們與人體之間的距離都是指與同側的人體表面之間的距離,例如,當 d TH 和 d RH 均為 0.5 m 時,發射天線與接收天線之間的距離應該在 d TH 和 d RH 相加后再加上人體的厚度,其真實距離為 1.2 m。
綜上所述,人體遮擋應用場景下的 TOA 測距誤差的測量集 3 Case 可以用式 (2) 表示。

其中, d TH 和 d RH 的具體設置如表 1 所示。發射天線到人體的距離 d TH 的值是從 0 m 開始變化,每次增加0.1 m 直到 1.8 m 。接收天線到人體的距離 d RH 的值分別為 0 m 、 0.2 m 、 0.3 m 、 0.5 m 。一組測量集可以設置為 3 {1m,0 m} Case = ,此時,表示發射天線距離人體 1 m ,接收天線放置在遮擋人體的胸口正中位置。
同時,為了保證測量結果的有效性,本文在每個場景變量設置條件下進行了 500 次測距,在不同的場景變量下,發射天線與接收天線之間的距離也在不斷變化。

TOA 測距誤差建模
在人體遮擋應用場景中,發射天線和接收天線之間的直射路徑信號受到了人體的遮擋,但由于人體表面是平滑且彎曲的,無線信號能夠以爬行波的形式到達接收天線,此時無線信號的能量衰減到達時間等參數都會發生很大的變化,并且在天線與人體之間存在一臨界點,它決定了 TOA 測距誤差在人體遮擋應用場景下如何變化。本文通過建立在人體遮擋應用場景下的 TOA 測距誤差模型來研究體表爬行波對 UWB 信道特性的影響。
人體遮擋應用場景下的 TOA 測距模型是根據天線到人體的距離與 TOA 測距誤差之間的關系進行建模的。測量系統將天線與人體之間的距離作為場景變量進行了測距并通過計算得到了不同場景變量下的 TOA 測距誤差,然后利用 Matlab 軟件對TOA 測距誤差進行擬合得到其關于天線和人體之間距離的公式,最后通過仿真驗證 TOA 測距誤差模型的正確性并根據 TOA 測距誤差模型結果分析體表爬行波對其的影響。
TOA 測距誤差總體特征
通過對不同場景變量下的 TOA 測距誤差的統計得到其在發射天線與人體之間的距離以及接收天線與人體之間的距離不同的情況下的分布特征。如圖 4 所示,當接收天線與人體之間的距離 d RH 不變時, TOA 測距誤差在發射天線與人體之間的距離d TH 為 0.5m 時發生了變化,當 d TH 小于 0.5m 時,TOA 測距誤差隨著 d TH 的增大而不斷減小,此時,可認為 TOA 測距主要受到了體表爬行波的影響,本文將這個區域定義為體表區域;當 d TH 距離大于 0.5 m時, TOA 測距誤差只產生了較小的波動,此時可認為 TOA 測距主要受到了 UWB 信號在空氣中傳播產生的衰減的影響,本文將這個區域定義為體外區域。因此,在人體遮擋應用場景下, 0.5 m 是區分TOA 測距誤差影響來源的臨界距離。

體表區域的 TOA 測距誤差分布
通過上述對人體遮擋應用場景下的 TOA 測距誤差總體特征的分析可知,體表區域內 TOA 測距誤差的分布和體外區域內 TOA 測距誤差的分布有很大的區別,因此為了準確描述人體遮擋應用場景對 TOA 測距誤差的影響,應對這 2 個區域內的TOA 測距誤差分別建模。已知天線與人體之間的距離為 0.5 m 是區分體表區域與體內區域的臨界距離并且單側人體引起的 TOA 測距誤差模型能夠更加直觀地反映體表爬行波對 TOA 測距的影響,所以,本文將建立單側人體引起的 TOA 測距誤差模型并且該 TOA 測距誤差模型以天線與人體之間的距離為 0.5 m 的位置作為臨界點分為 2個部分:體表區域 TOA 測距誤差模型和體外區域的 TOA 測距誤差模型。
在體表區域內,單測人體引起的 TOA 測距誤差可以由不同場景變量下的 TOA 測距誤差進行組合相減的方法獲得,計算式為

通過式 (3) 可以得到體表區域內天線與單側人體之間的距離不同時的 TOA 測距誤差,圖 5 為它們的部分分布結果。
由圖 5 所示,體表區域的 TOA 測距誤差服從高斯分布,因此體表區域的 TOA 測距誤差模型如式 (4) 所示。





體外區域的 TOA 測距誤差分布體外區域的 TOA 測距誤差主要是由于 UWB 信號在空氣中傳播中產生了能量衰減,不再受到體表爬行波的影響,在本文的測量場景中可認為 UWB信號在空氣中的傳播近似等同于在自由空間的傳播。因此,體外區域的 TOA 測距誤差的變化應等同于自由空間中 TOA 測距誤差的變化。在體外區域內,單側人體引起的 TOA 測距誤差可通過式 (7) 計算得到。

通過式 (7) 計算所得到的所有體外區域的 TOA測距誤差的分布結果如圖 8 所示。根據體外區域的 TOA 測距誤差的分布情況可知其服從均值為 0 的高斯分布,因此,可得到體外區域的 TOA 測距誤差模型,如式 (8) 所示。


TOA 測距誤差總體模型綜上所述,人體遮擋應用場景下的 TOA 測距誤差總體模型如式 (9) 所示。

TOA 測距誤差模型的驗與分析證
通過上述的統計擬合與計算得到了人體遮擋應用場景下的 TOA 測距誤差模型,包括體表區域的 TOA 測距誤差模型和體外區域的 TOA 測距誤差模型。為了驗證 TOA 測距誤差模型的準確性,本文通過比較 Matlab 軟件仿真產生的模型數據和實際測量數據的大小對人體遮擋應用場景下的 TOA測距誤差模型進行了驗證。首先,在相同的人體遮擋應用場景下,測量了 500 組接收天線與人體之間的距離 d RH 為 0 m ,發射天線與人體之間的距離 d TH從 0 m 每次增加 0.1 m 直到 1.8 m 時的 TOA 測距誤差,然后利用 Matlab 軟件仿真得到了 d RH 相同情況下, d TH 在 0 m~1.8 m 之間的 TOA 測距誤差模型數據。另外,本文又對 d RH 分別為 0.2 m 、 0.3 m 、 0.5 m的仿真數據和實測數據進行了自驗證。圖 9 是人體遮擋應用場景下的實測數據和 TOA測距誤差模型產生的仿真數據的對比結果。從圖 9 中可看出實測數據和模型數據具有非常高的相似度,由此說明本文提出的人體遮擋應用場景下的 TOA 測距誤差模型具有一定的可信性,可以為研究人體遮擋應用場景對 UWB 信道的影響提供理論依據。

由圖 9 所示,當天線與人體之間的距離小于等于 0.5 m 時,即天線放置在體表區域內, TOA 測距誤差隨著天線與人體之間的距離的增大而不斷減小并且其波動幅度不斷減小,說明在體表區域內TOA 測距誤差主要受到體表爬行波的影響并且隨著體表爬行波傳播的距離不斷減小, TOA 測距誤差的變化幅度越來越小,這是因為體表爬行波對 TOA測距誤差的影響遠遠大于 UWB 信號在空氣傳播中的能量衰減對 TOA 測距誤差的影響。當天線與人體之間的距離大于 0.5 m 時,即天線放置在體外區域內,天線與人體之間的距離的變化并沒有改變TOA 測距誤差的大小,并且 TOA 測距誤差保持著一定的幅度進行小范圍波動,說明在體外區域內TOA 測距誤差只受到 UWB 信號在空氣中傳播的能量衰減的影響。
通過上述對人體遮擋應用場景下的 TOA 測距誤差模型結果的分析可知, UWB 信號在傳播過程中遇到人體的遮擋時,一部分信號會通過體表爬行波的形式沿著人體的表面進行傳播從人體的一側傳播到另一側。
此外,克拉美羅界( CRCB, Cramer-Rao lowerbound )是 TOA 定位系統性能評估的常用參數。CRLB 通常用來評估測距精度和定位精度的理論下限 。 CRLB 定義了無偏估計量的方差的理論下限。CRLB 定義如下。


TOA 定位的 CRLB 與 TOA 測距誤值的方差 (iσ )相關,因此,計算 CRLB 的基礎是通過現場測量對測距誤差或者測距值進行建模。

為了計算人體遮擋對 TOA 測距的 CRLB 的影響,假設 2 個 3 m × 3 m 的應用場景。如圖 10 所示,假設 10(a) 、圖 10(b) 中的坐標 (0,0) 、 (0,3) 、 (3,3) 、 (3,0)分別放有 4 個基站,圖 10(b) 中,坐標 (3,3) 處的基站到圓心的方向有一個人體,人體接近于基站,如右上角圓點所示。
假設目標節點可以移動到場景中的任意位置,且傳送信號可以覆蓋整個場景,圖 10(a)展示了在沒有人體遮擋時, 4 個基站與目標節點之間的 CRLB ;圖 10(b) 展示了有人體遮擋時的 CRLB 。由圖可以看出,當目標節點移動到與人體距離小于0.5 m 時, CRLB 明顯增大,而在距離人體大于 0.5 m時, CRLB 與沒有人體遮擋時,即圖 10(a) 的 CRLB相同。由此,進一步驗證了本文的結論:當天線與人體之間的距離大于 0.5 m 時,即天線放置在體外區域時,天線與人體之間的距離的變化并沒有改變TOA 測距誤差的大小。
作者:何杰,吳雅南,段世紅,徐麗媛 ,呂家慧 ,徐誠 ,齊悅 ,北京科技大學計算機與通信工程學院, 材料領域知識工程北京市重點實驗室,來源通信學報
UWB測距模塊推薦:
UWB測距模塊SKU603 | UWB測距模塊SKU609 | UWB測距模塊SKU610 | UWB測距模塊SKU611(支持PDOA) |





